您现在的位置:洪桥教育 > 数学> 2022年MBA考研,管理类联考数学到底有多难?
整理编辑:MBA培训网 时间:2021-02-06
管理类联考数学考查的内容大部分是初中数学知识,几乎不会涉及到高数,为啥考生的数学成绩却不高呢?
联考数学到底有多难?
联考数学题目来源一般为:小学奥数、中高考题的改编、历年真题的改编这三块,但是绝对不是简单的换数字这么简单。
数学考题的难度比为简单:中等:难=1:7:2,简单和中等占了80%的分数,即60分。别看不起基础分,如果每一科都可以拿到80%的分数,那么联考总分300分你就可以拿到240分。这是一个什么概念?对于考MBA的同学,这个分数足够让学校求着你入学。所以对于一心想考上的同学来说,打好基础才是关键。

管联数学题难度分布
对于数学的基本公式、基本概念、基本运算一定要打牢,不要出现记错公式、算错、看错等等低级的错误。只有基础打牢,那么对于综合题也就能顺便解出来。所以在此建议从现在到6月份,不要去做难题、偏题、怪题、杂题,好好打基础,不要浪费你宝贵的时间。
联考数学分数不高的原因
为什么一些考生,真题刷了十遍,依然分数不高呢?究其原因还是没有真的去思考这数学题到底想考什么?为什么要这样做?那样做又为什么错?缺乏主动思考,只是单纯的背题目,背数字,背步骤。

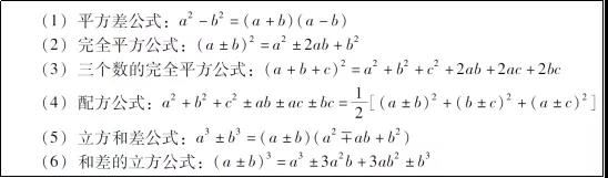
管联数学代数六大公式
这就导致考试的题目都是我们没有做过的陌生题目,一旦碰到自己没有做过的,就紧张歇菜。所以平时做题,一定要多问自己:为什么要这样做?是怎么想到的?
有经验的老师,一定不是只告诉你这题怎么做,而是告诉你,这题为什么要这样做。另外还能预想到你会怎么做,错在哪一步。
另外,现在的考题每年必出陷阱题,这类题更多的是考察考生基础知识的牢固程度,很多的陷阱更多的是一些基本概念的模糊导致出错的。再加上时间紧这个隐藏压力,如果基本概念不熟,必然会导致犯错。
综合试卷总时长为180分钟,留给数学的时长最多不能超过60分钟,也就是意味着60分钟做完25题,平均每题2.4分钟。2.4分钟从分析题目到列式计算再到得出答案,速度要求非常严格。
以上就是MBA资讯网小编整理的"2022年MBA考研,管理类联考数学到底有多难?"相关文章,希望对各位考生有帮助!
搜索